电容式微加工超声换能器 (Capacitive Micromachined Ultrasonic Transducers, CMUTs)
- 发布时间:
- 2017-11-01
- 文章标题:
- 电容式微加工超声换能器 (Capacitive Micromachined Ultrasonic Transducers, CMUTs)
- 内容:
MUT研究团队以西安交通大学机械工程学院赵立波教授为带头人,在国家自然科学基金面上项目—“基于水平剪切声表面波的新型黏度/密度传感器测量机理与关键技术研究”(51375378)的支持下,针对CMUTs的基础理论、制备工艺与测试技术等关键技术进行了深入研究,并在流体粘度/密度测量、生化测量方面进行了应用研究,取得了系列研究成果。

MUT研究团队
团队带头人赵立波教授本硕博毕业于西安交通大学,并先后于清华大学从事博士后研究以及美国加州大学伯克利分校做访问学者,现任西安交通大学机械工程学院精密仪器系系主任、中国微米纳米技术学会微纳执行器与微系统分会副理事长等,主要从事于微型机械电子系统(MEMS)与微纳米技术、微纳制造与先进传感技术以及精密测量技术等研究。主持国家重点研发计划子课题任务、国家自然科学基金面上项目等11项,主要参与国家自然科学基金重点项目、国家863计划重点项目、国家重大科学仪器开发专项等7项。发表学术论文100余篇,SCI收录30篇;授权发明专利49项(第一发明人24项、美国发明专利1项);获得国家技术发明二等奖2项(第2获奖人,2017年度;第3获奖人,2006年度)等。
CMUTs是采用微加工技术而制备的微型超声换能器,用于超声波的发射和接收,在超声无损检测、超声指纹识别、3D超声姿态识别与非接触控制、生化物质检测、流体黏度/密度测量等领域具有很好应用前景。
(1)CMUT机电耦合理论:
针对CMUT的结构特点,利用伽辽金法分别建立了圆形和矩形薄膜CMUT的机电耦合模型,得到了CMUT薄膜静态变形与偏置电压、结构参数之间的函数关系,并建立了CMUT的塌陷电压分析表达式。对于CMUT的动力学性能,分别利用能量等效法和伽辽金法建立了圆形和矩形薄膜CMUT在偏置电压作用下的谐振频率分析表达式。以上成果在Journal of physics D: Applied Physics、Instrumentation、IEEE/ASME Journal of Microelectromechanical Systems、journal of Micromechanics and Microengineering、AIP Advances等期刊上发表。


图1-1 典型CMUT结构示意图 图1-2 CMUT简化力学原理图

图1-3 CMUT单元FEM模型

图1-4 CMUT单元振动模态分析

图1-5 CMUT机电耦合模型 图1-6 解析解与FEM对比分析
发表论文:
[1] Zhikang Li, Libo Zhao*, Zhiying Ye, et al. Resonant frequency analysis on an electrostatically actuated microplate under uniform hydrostatic pressure[J]. Journal of physics D: Applied Physics, 2013, 46(19):195108 (SCI: 133OC; EI: 20131916309826).
[2] Zhikang Li, Libo Zhao*, Zhuangde Jiang, et al. An improved method for the mechanical behavior analysis of electrostatically actuated microplates under uniform hydrostatic pressure[J]. IEEE/ASME Journal of Microelectromechanical Systems, 2015, 24(2): 474-485 (SCI: CF1BI; EI: 20151500731903).
[3] Zhikang Li, Libo Zhao*, Zhuangde Jiang, et al. Mechanical behavior analysis on electrostatically actuated rectangular microplates[J]. Journal of Micromechanics and Microengineering, 2015, 25 (3): 035007 (SCI: CC3PQ; EI: 20150900589764).
[4] Zhikang Li, Libo Zhao*, Zhuangde Jiang, et al. Capacitive micromachined ultrasonic transducerfor ultra-low pressure measurement: Theoretical study[J]. AIP Advances, 2015, 5(12): 127231 (SCI: DA1ZY; EI: 20160101763792).
[5] Zhikang Li, Libo Zhao*, Zhiying Ye, et al. Capacitive Micromachined Ultrasonic Transducer as A Resonant Temperature Sensor[C], 8th Annual IEEE International Conference on Nano/Micro Engineered and Molecular Systems, Suzhou, China, April 7-10, 2013: 1092-1095 (EI:20133616690571).
[6] Zhikang Li, Libo Zhao*, Zhiying Ye, et al. Capacitive Micromachined Ultrasonic Transducer for Ultra-low Pressure Detection[C], The 9th Annual IEEE International Conference on Nano/Micro Engineered and Molecular Systems, Hawaii, USA, April 13-16, 2014: 600-603 (EI: 20144600187839).
[7] Zhikang Li, Libo Zhao*, Yingji Hu, et al. A Novel Capacitive Micromachined Transducer for Micro-pressure Measurement[C], IEEE Sensors, Busan, South Korea, November 1-4, 2015:1-4 (EI: 20161602256864).
[8] Zhikang Li, Libo Zhao*, Zhuangde Jiang, et al. Fabrication of CMUTs with a low temperature wafer bonding technology[C], IEEE Sensors, Busan, South Korea,November 1-4, 2015:1-4 (EI: 20161602256694).
[9] Sina Akhbari, Arne Voie, Zhikang Li, et al. Dual-electrode bimorph pmut arrays for handheld therapeutic medical devices[C], The 29th IEEE International Conference on Micro Electro Mechanical Systems, Shanghai, China, January 24-28, 2016:1102-1105 (EI: 20162202452116).
[10] Zhikang Li, Rahman.hebibul, Libo Zhao*, et al. Capacitive Micromachined Ultrasonic Transducer as A Resonant Temperature Sensor[J]. Instrumentation, 2014, 1(3):67-73.
[11] Zhikang Li, Libo Zhao*, Zhiying Ye, et al. A CMUT-Based Resonant Temperature Sensor:Modeling and Simulation[C], The 11th international symposium of measurement technology and intelligent instruments (ISMTII2013), Aachen and Braunschweig, Germany, July 1-5, 2013: 271-272.
[12] Zhikang Li, Libo Zhao*, Zhiying Ye, et al. Analysis on collapse voltage of CMUT considering anisotropy of the membrane[C], 12th International Symposium on Measurement Technology and Intelligent Instruments (ISMTII 2015), National Taiwan University, Taipei, Taiwan, September 22-25, 2015.
授权发明专利:
[1] 一种基于CMUT的超低量程压力传感器及其制备方法,中国,发明专利,授权号:ZL 201210068681.6,授权日:2014.11.5,发明人:蒋庄德、李支康、赵立波、赵玉龙、苑国英.
[2] 一种微压力传感器及其制备与检测方法,中国,发明专利,授权号:ZL 201410240293.0,授权日:2016.4.27,发明人:赵立波、李支康、蒋庄德、叶志英、薛方正、乔智霞、李萍、赵玉龙.
(2)基于低温晶圆直接键合的CMUTs制备技术
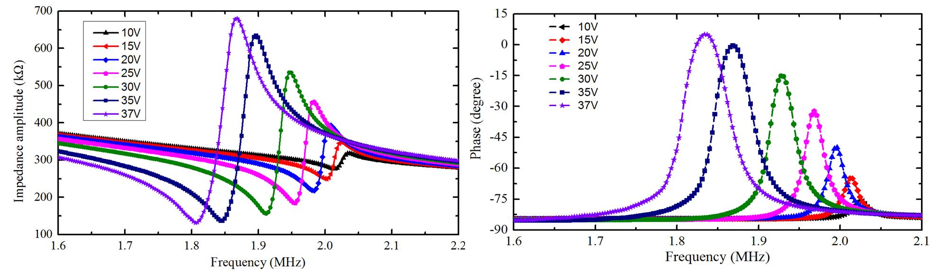
CMUTs的制备工艺一直以来是一个难题,通过课题组成员的努力,研制出基于低温晶圆直接键合技术制备的CMUTs芯片。直接键合是指两个硅片之间不使用中间层而键合的工艺步骤,也叫做熔融键合/Fusion bonding。常规的直接键合温度高至1050℃,而这一较高的键合温度会引入很大热应力,且难以与集成电路结合,因此开展了低温直接键合工艺的研究,将直接键合温度从1050℃降至了350℃,成功制备出了CMUTs器件,对所制备的芯片性能进行了实验分析,准确地测量了包括谐振频率、塌陷电压及静电形变等一些列的重要参数,并将该成果发表于Sensors & Actuators A: Physical期刊上。

图2-1 直接键合工艺示意图 图2-2 CMUTs芯片

图2-3 CMUTs剖面SEM图
图2-4 CMUTs芯片FCSM图

图2-5 不同电压下的静电形变图

图2-6 阻抗特性曲线图
发表论文:
[1] Libo Zhao*, Jie Li, Zhikang Li, Jiawang Zhang, Yihe Zhao, Jiuhong Wang, Yong Xia, Ping Li, Yulong Zhao, Zhuangde Jiang. Fabrication of Capacitive Micromachined Ultrasonic Transducers with Low-Temperature Direct Wafer-Bonding Technology [J], Sensors and Actuators A: Physical, 264: 63-75, 2017.9.1. (SCI: FI2NF, EI: 20173204028730, IF: 2.499)
授权发明专利:
[1] 一种电容式微加工超声传感器及其制备与应用方法,中国,发明专利,授权号:ZL 201210068766.4,授权日:2014.3.12,发明人:赵立波、李支康、蒋庄德、赵玉龙、苑国英.
[2] 一种基于CMUT的温度传感器及制备和应用方法,中国,发明专利,授权号:ZL 201310084796.9,授权日:2015.4.29,发明人:蒋庄德、李支康、赵立波、叶志英、王久洪、王苑、赵玉龙、苑国英.
[3] 一种基于CMUT的温度传感器及其制备方法与应用方法,中国,发明专利,授权号:ZL 201310084404.9,授权日:2015.4.29,发明人:赵立波、叶志英、李支康、蒋庄德、王久洪、赵玉龙、王苑.
[4] 一种高温CMUT压力传感器及其制备方法,中国,发明专利,授权号:ZL 201310084858.6,授权日:2016.2.24,发明人:赵立波、李支康、蒋庄德、叶志英、王久洪、王苑、赵玉龙、苑国英.
(3)CMUTs在流体黏/密度测量领域的应用
团队成员对于流体中CMUTs的谐振性能进行了研究,发现其同时受机-电耦合和流-固耦合的影响,因此将两种耦合模型结合建立CMUTs在机-电-液三场耦合理论,从而得到流体黏密度与CMUTs谐振频率的关系。利用COMSOL软件建立了CMUTs机-电-液耦合有限元模型,仿真结果与分析值误差小于0.37%。

图3-1 基于CMUT的 黏/密度测试示意图 图3-2 机-电-声三场耦合FEM模型

图3-3 CMUT在流体中的振动模态 图3-4 流体密度与谐振频率之间的变化关系
发表论文:
[1] Jiawang Zhang, Libo Zhao, Hongyan Wang, et al. Finite element analysis of resonant fluid density sensor based on CMUT [C], The 13th international symposium of measurement technology and intelligent instruments (ISMTII2017), Xi’an, China, Sept. 22-25, 2017.
[2] Jie Li, Libo Zhao, Rahman•hebibul, et al. Fabrication of Capacitive Micromachined Ultrasonic Transducers Based on Low Temperature Wafer-Bonding Technology[C], The 13th international symposium of measurement technology and intelligent instruments (ISMTII2017), Xi'an, China, Sept. 23-25, 2017.
授权的发明专利:
[1] 一种微压力传感器及其制备与检测方法,中国,发明专利,授权号:ZL 201410240293.0,授权日:2016.4.27,发明人:赵立波、李支康、蒋庄德、叶志英、薛方正、乔智霞、李萍、赵玉龙.
(4)CMUTs在气体检测领域的应用研究
团队成员在CMUTs的气体检测领域实现了突破,设计了一种基于CMUTs的谐振式气体传感器,应用于SO2气体的检测。通过远场静电纺丝工艺结合EDT敏感材料对CMUTs传感器进行功能化,形成50~500 nm直径的珠链状纤维敏感层具有大孔隙率和大比表面积。基于CMUTs的谐振式气体传感器20V直流偏置下,工作频率达到1.756 MHz,检测100 ppm~333 ppm浓度的SO2体积灵敏度达到99.602 ppb/Hz,响应时间小于30 s,并具有循环吸附性,在便携式电子产品以及穿戴等方面具有很大的应用价值和前景。以上成果被ISMTII和2018 IEEE MEMS 高水平国际会议录用,授权和申请发明专利数项。

图4-1 CMUT用于气体检测的工作原理图
图4-2 气体检测试验系统

图4-3 CMUT气体传感器的测试结果
发表论文:
[1] Yihe Zhao, Libo Zhao, Yong Xia, et al. A new functionalization method for CMUTs-based Resonant Biochemical Sensors [C], The 13th international symposium of measurement technology and intelligent instruments (ISMTII2017), Xi’an, China, Sept. 22-25, 2017.
[2] Yihe Zhao, Dejiang Lu, Libo Zhao, et al. CAPACITIVE MICROMACHINED ULTRASONIC TRANSDUCERS FOR BIOCHEMICAL DETECTION WITH FLEXIBLE HIGH SENSITIVITY [C], The 31th IEEE MEMS, Belfast, UK, January 21-25, 2018.
授权和申请的发明专利:
[1] 一种用于痕量生化物质检测的CMUT及其制备方法,中国,发明专利,授权号:ZL 201110399567.7,授权日:2014.4.23,发明人:赵立波、李支康、蒋庄德、郭鑫、张桂铭、黄恩泽、赵玉龙、苑国英.
[2] 一种基于CMUT的生化传感器及其制备方法,中国,发明专利,授权号:ZL 201110399566.2,授权日:2014.8.6,发明人:赵立波、李支康、蒋庄德、张桂铭、黄恩泽、郭鑫、赵玉龙.
[3] 基于CMUT的海洋生化物质监测传感器及其制备与测量方法,中国,发明专利,授权号:ZL 201310364961.6,授权日:2016.1.13,发明人:赵立波、李支康、蒋庄德、叶志英、赵玉龙、王苑、王久洪.
[4] 基于CMUTs谐振式生化传感器的敏感功能层制备方法,中国,发明专利,申请号:201710318378.X,申请日:2017.5.8,发明人:赵立波、赵一鹤、夏勇、李支康、李杰、张家旺、李萍、蒋庄德.




