电容式微加工超声传感器(CMUT)的基础理论研究
发布时间:2014-06-01
点击次数:
- 发布时间:
- 2014-06-01
- 文章标题:
- 电容式微加工超声传感器(CMUT)的基础理论研究
- 内容:
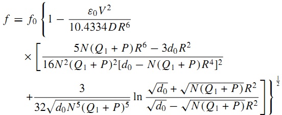
- 电容式微加工超声传感器(Capacitive Micromachined Ultrasonic Transducers,简称CMUTs)的研究是随着MEMS技术的发展而发展起来的,是MEMS技术的重要研究方向。CMUTs的研究始于1996年,因具有机电特性好、品质因子高、灵敏度高、带宽大、噪声低、工作温度范围宽及易阵列易集成等优点,迅速取代传统的压电超声传感器而成为国内外研究的热点。它广泛应用超声检测、无损探测、速度检测以及近年来发展起来的生化检测、流体黏度/密度测量等领域。基础理论研究是实现CMUT设计、优化以至于实际应用的关键,本课题组针对CMUT的机电耦合力学行为、等效电路模型以及静电耦合系数等方面开展了大量研究。目前已提出CMUT在不同结构参数、偏置电压以及流体静压力下,其谐振频率的变化规律,并给出数学模型和计算表达式;提出了CMUT在偏置电压和压力共同作用下机电耦合数学模型,给出CMUT薄膜变形、塌陷电压以及电容的计算的方法。对于CMUT基础理论而言,还有很多方面需要进一步研究,包括CMUT等效电路模型、机电耦合系数、CMUT寄生电容、充电现象对性能的影响规律,CMUT阵列噪声消除、CMUT结构及阵列的性能优化设计以及后续电路检测原理和设计方法等。
图1 CMUT力电耦合有限元模型
公式:CMUT谐振频率与结构参数、偏置电压和流体压力之间的数学表达式(J. Phys. D: Appl. Phys. Vol.46, No.19, 195108,2013)
- 上一条:基于CMUTs技术的生化传感器研究
- 下一条:CMUT设计完成,开始加工




