(1)非等温阳极键合工艺研究:提出了非等温阳极键合工艺,利用温度梯度使碱金属在远离气室阳极键合界面的位置凝结,如图1(a)所示,以便在没有碱金属蒸汽干扰的情况下成功地进行阳极键合,该方法显著提高了低温键合密封MEMS碱金属原子气室的成功率,解决了国际上微加工碱金属原子气室键合时碱金属蒸发至键合界面导致键合失败的难题。相关成果发表在期刊Journal of Materials Research and Technology(IF=6.4)上。
(2)基于混合等离子体活化的低温复合键合工艺研究:硅-玻璃晶圆键合是目前MEMS气室最重要的封装工艺,对于MEMS碱金属原子气室的封装主要有以下要求:一是需要在无水无氧的环境中进行键合;二是键合温度应尽量低,最好低于OTS的失效温度(170℃);三是键合强度要足够高,以保证气室的气密性。但目前的低温键合工艺仍然无法同时满足以上MEMS碱金属原子气室的封装要求。因此针对MEMS气室的封装需求,提出了基于微观间隙闭合机制的混合等离子体活化低温复合键合工艺,如图1(b)所示,经等离子体活化硅-玻璃键合表面后,先进行阳极键合实现初步密封,再进行直接键合实现间隙闭合以提高键合强度,实现了微加工原子气室在无水无氧低温环境下的高强度封装(图1(c))。该工艺使得硅-玻璃键合温度从典型的350℃降至150℃,进而兼容OTS抗弛豫薄膜的失效温度,解决了国际上MEMS气室集成OTS抗弛豫涂层的难题。相关成果发表在期刊Chemical Engineering Journal(IF=16.744)上。

图1
(3)单光路微加工原子气室的设计与制造工艺研究:搭建了气室的一体化加工平台,如图2(a、b)所示,集成键合、碱金属注入、惰性气体充入、稀有气体回收和循环利用等功能,极大的降低了需要充入同位素富集稀有气体的微加工气室的制造成本,并基于非等温键合工艺和复合键合工艺制造了单光路微加工碱金属原子气室,如图2(c)所示。

图2
(4)正交光路MEMS碱金属原子气室设计与制造:首次提出了晶圆级精密内侧面模压技术,如图3(a)所示,用以处理激光打孔后玻璃的粗糙内侧壁,使其满足气室光学通道的要求。通过高精度模具与玻璃孔之间的热膨胀挤压成型,将粗糙玻璃孔侧面模压成符合气室光学通道要求的平面。如图3(c、d)所示,模压后的原子气室内侧壁在所需的近红外激光波段透过率约为89%,平均表面粗糙度为22 nm,面型精度为283 nm,解决了毫米级玻璃孔光学侧壁的批量制造难题。基于所提出的键合工艺和搭建的一体化加工平台,批量制造了正交光路微加工碱金属原子气室,如图3(b)所示。搭建了正交光路原子气室的测试平台,通过对不同泵浦-探测方案下的FID信号的测量和比较,证明了所制造的具有正交光路的MEMS碱金属原子气室满足正交光路原子器件的需求。以上工作发表在中国工程院期间期刊Engineering(IF=12.8)上。
(5)搭建了基于正交光路MEMS碱金属原子气室的Rb-129Xe-131Xe共磁计,获得了500 fT/Hz1/2的灵敏度,如图3(e)和(f)所示。证明了批量制造的正交光路MEMS碱金属原子气室在保证量子器件的性能的同时还将极大推动相关微型量子器件的批量应用。


图3
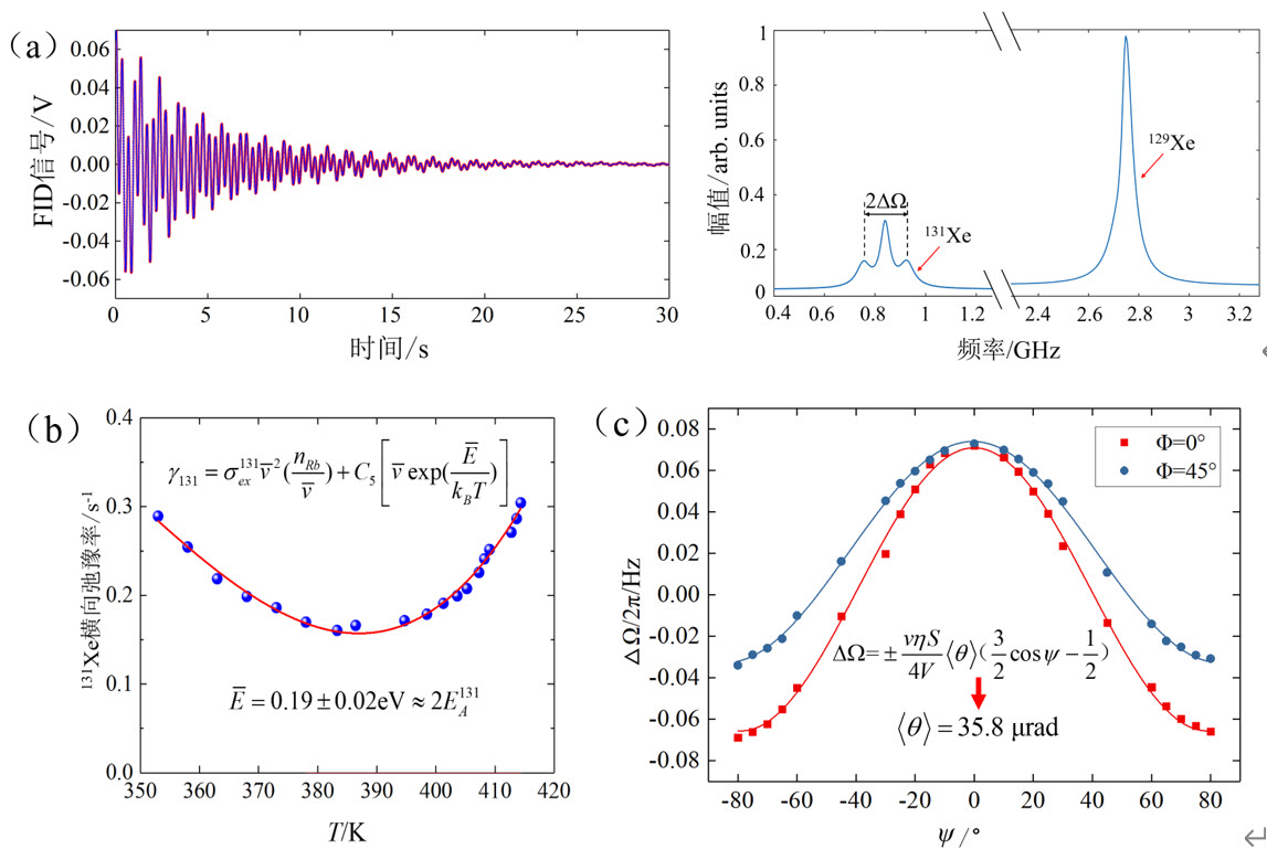
(6)基于微扰动理论分析了微加工气室中131Xe核自旋与气室壁的四极相互作用(图4(a)和(b)),研究了所制造的单光路MEMS气室中131Xe核自旋与硅侧壁碰撞时的四极频移和弛豫性质,为更好地理解硅的表面性质提供了依据。阐明了硅-玻璃材料表面129Xe和131Xe核自旋弛豫随温度指数变化的规律,首次测得了131Xe与硅表面的解析活化能和平均均方扭角等关键参数。对所制造的具有正交光路的MEMS立方体腔体原子气室中131Xe原子弛豫和NQR频移进行了系统研究。测量不同温度下129Xe和131Xe的弛豫时间,得到了129Xe弛豫率与碱金属原子数密度的线性依赖关系和131Xe弛豫率随温度先呈指数减小后增大的变化规律(图5(b))。阐明了电四极矩对磁场方位角的余弦依赖规律,如图4(c)所示。为提高微加工原子气室核自旋弛豫时间提供了指导。以上工作发表在期刊物理学期刊Journal of Physics D: Applied Physics(IF=3.4)上。

图4




