访问量:
最后更新时间:--
访问量:
最后更新时间:--
Dr. Zhijun Jiang carries out research in the field of computational condensed matter physics. His current interests mainly lie in developing and/or using direct first-principles methods and first-principles-based techniques to:
1. predict topological defects and related phenomena in ferroelectrics, relaxors, and multiferroics.
2. optimize subtle cross-coupling properties, including electro-optic, electrocaloric, elasto-optic, piezoelectric effects.
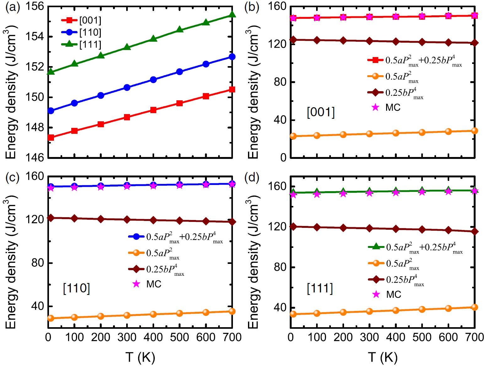
3. design materials with high energy densities and efficiencies.
4. design multifunctionality via assembling dissimilar materials that can enhance physical properties or even create novel phenomena.
Topological defects




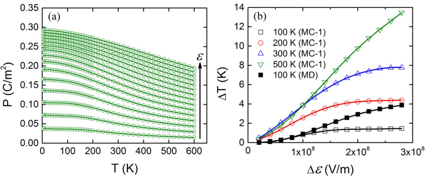
Electrocaloric effect

Designing multifunctionality via assembling dissimilar materials


Energy storage



Linear and nonlinear electro-optic effects
