访问量:
最后更新时间:--
访问量:
最后更新时间:--

朱远惟
副教授,博士生导师
国家科技重大专项课题负责人
秦创原科研创新人才
西安交大青年优秀人才支持计划(A类)
中科院 长春应用化学研究所 访问学者
陕西省高校科研成果奖 一等奖(排名第1)
ISH 2019 Young Scientist Award
招生信息:
每年招收博士研究生1-2名,硕士研究生2-4名、本科毕业设计1-2名。
非常鼓励但不限于电气、化学、材料、物理、电子等学科交叉领域的学子们加入。
欢迎具备推免研究生资格的同学提前联系。
鼓励本科生进入课题组参加科研训练。
朱远惟,西安交通大学电气工程学院,副教授,博士生导师,
入选西安交通大学青年优秀人才支持计划A类。主要研究方向为:先进聚合物电介质材料、智能绝缘材料、变压器油纸复合绝缘材料、纳米级电子器件绝缘材料。
主持科研项目10余项,包括:国家科技重大专项课题;国家自然科学基金面上项目、青年项目;陕西省重点研发计划项目、面上项目;中科院战略性先导科技项目;军委科技委项目;国际合作项目等。
发表科技论文50余篇,以第一/通讯作者在Energy & Environmental Science (IF=39.9), Materials Horizons (IF=15.7),Chemistry of Materials (IF=10.5),ACS Applied Materials & Interfaces(IF=10.4), Journal of Materials Chemistry C(IF=8.1), Advanced Materials Interfaces (IF=6.4),Applied Physics Letters (IF=4.0)等国际顶级/著名期刊发表研究论文。申请发明专利10余项,其中第一完成人专利8项。
教育及工作简历:
学术任职:
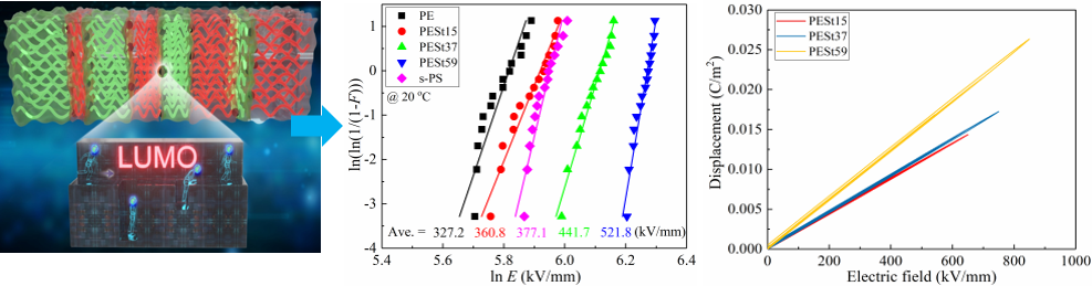
1. 高击穿、高储能密度绝缘聚合物:通过引入接枝或共聚策略在分子层面实现聚合物材料电荷陷阱控制,阻碍载流子迁移,实现击穿、储能特性的提升。
