We are group of condensed matter experimentalists with interest in electronic properties of low-dimensional systems. Through state-or-art nano-fabrication and ultra-low noise low temperature electronic transport measurements, we aim to discover new phenomena and understand the underlying physics. We hope our work eventually will be relevant for applications, such as in sensing and in the storage of information. In the following, we show several examples of our research projects:
Magnetism in two dimensions (二维磁性)
Long-range magnetic order in two dimensions has been at the heart of fundamental research in condensed matter physics, and is also crucial for future ultra-high density spintronic devices. However, experimental realization of two dimensional (2D) magnetism was extremely difficult until the successful isolation of first 2D magnet from van der Waals materials CrI3 in 2017. In our group, we mainly use electrical measurement methods to probe the magnetic properties of 2D magnets, reveal new phenomena and understand the underlying physics. For example, through tunneling magnetoresistance measurement, we determined the phase diagram of layered antiferromagnet CrCl3 and found interesting even-odd effect, we have demonstrated the persistence of magnetism in atomically thin MnPS3 crystals. In collaboration with other groups, we also investigate 2D magnetism with optical measurement methods, such as scanning single-spin magnetometry and magnetic circular dichroism.

Reference:
Z. Wang, et al. “Determining the phase diagram of atomically thin layered antiferromagnet CrCl3” Nature Nanotechnology 14, 1116-1122, (2019)
L. Thiel, et al. “Probing magnetism in 2D materials at the nanoscale with single-spin microscopy” Science 364, 973-976, (2019)
G. Long, et al. “Persistence of Magnetism in Atomically Thin MnPS3 Crystals” Nano Letters 20, 2452-2459 (2020)
N. Ubrig, et al. “Low-temperature monoclinic layer stacking in atomically thin CrI3 crystals” 2D Materials, 7, 015007 (2020)
2D spintronic devices (二维自旋电子器件)
Spintronic devices utilize spin instated of charge to store and process information, so that they can in principle offer low-power consumption and ultrafast speed. 2D materials are ideal candidates for fabricating ultra-high density spintronic devices, because 2D materials can be high quality even at atomically thin level and the interfaces of heterostructures can be atomically sharp. In our group, we are designing and fabricating different types of spintronic devices based on 2D materials, including classic magnetic tunneling junctions (MTJs) with ultra-thin barrier and new type of giant magnetoresistance devices constituted by multi-spin-filters.

Reference:
Z. Wang, et al. “Very large tunneling magnetoresistance in layered magnetic semiconductor CrI3” Nature Communications 9, 2516, (2018)
Z. Wang, et al. “Tunneling Spin Valves Based on Fe3GeTe2/hBN/Fe3GeTe2 van der Waals Heterostructures” Nano Letters 18, 4303-4308, (2018)
Quantum Transport in Graphene (石墨烯中的量子输运)
Because of the Dirac nature of its charge carriers and the presence of two valleys, graphene is the first predicted two-dimensional topological insulator. Topological state characteristics have not been observed experimentally, because the strength of the intrinsic spin-orbit interaction (SOI) is too weak. We proposed that the strength of SOI in graphene could be strongly enhanced through the proximity effect from transition metal dichalcogenides (TMDs) substrate. The enhancement of SOI was unambitiously demonstrated by the observation of weak anti-localization effect, and the type and amplitude of induced SOI was obtained by combining measurements of Shubnikov-de Haas oscillations and theoretical calculations.

Reference:
Z. Wang, et al. “Strong interface-induced spin-orbit interaction in graphene on WS2” Nature Communications 6, 8339 (2015)
Z. Wang, et al. “Origin and magnitude of ‘designer’ spin-orbit interaction in graphene on semiconducting transition metal dichalcogenides”, Physical Review X, 6, 041020 (2016)
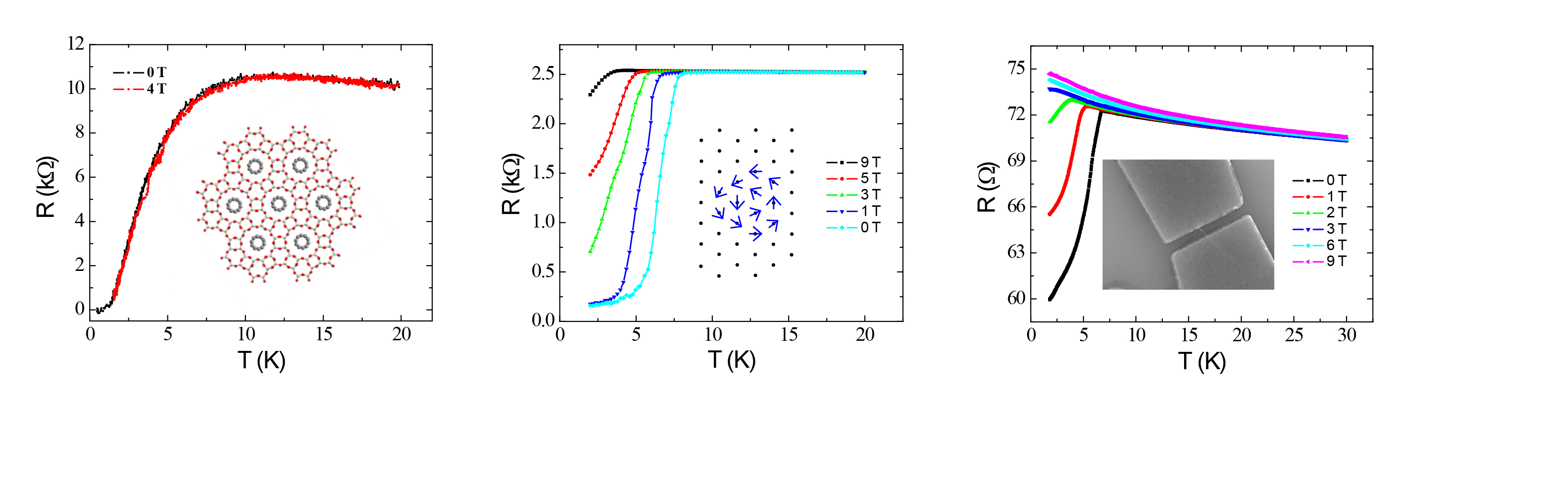
Superconductivity in one dimensional carbon nanotubes (一维碳纳米管系统中的超导)
Nano-structuring is a well-known method to engineer material’s property, but introducing superconductivity is not within its scope. When graphene rolls into nanotube, it is predicted that the electron phonon interaction potentially will be enhanced by its curvature thus lead to superconductivity. Two types of superconducting resistive behaviors was observed in 4 Angstrom single wall carbon nanotubes, one is quasi one dimensional fluctuation superconductivity with thermally activated phase slips. Another one is the quasi 1D to 3D superconducting crossover transition, which is attributed to a Berezinskii–Kosterlitz–Thouless like transition that establishes quasi-long-range order in the transverse plane.

Reference:
R. Lortz, et al. “Superconducting characteristics of 4-Angstrom carbon nanotube-zeolite composite” Proc. Natl. Acad. Sci., 106, 7299-7303 (2009).
Z. Wang, et al. “Superconductivity in 4-Angstrom carbon nanotubes-A short review” Nanoscale, 4, 21 (2012)
Z. Wang, et al. “Superconducting resistive transition in coupled arrays of 4 Angstrom carbon nanotubes” Physical Review B, 81, 174530 (2010)
W. Shi, et al. “Superconductivity in Bundles of Double-Wall Carbon Nanotubes” Scientific Reports 2, 625 (2012)




