1. An incremental contact model for rough surfaces.


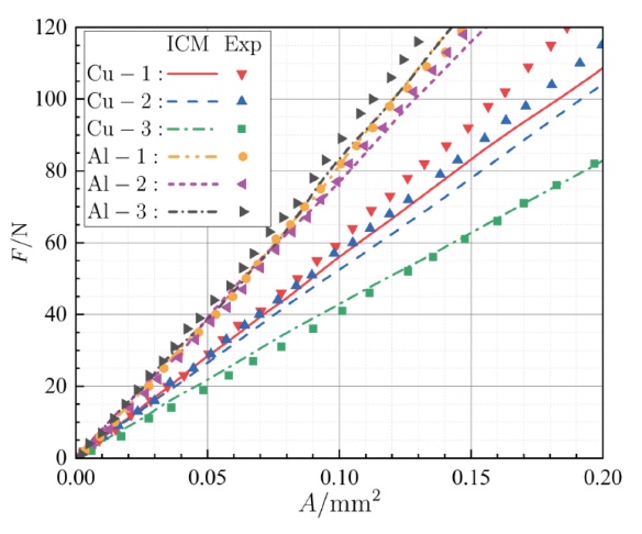
2. Comparison between the incremental contact model and experiments.

3. Linear dependence of frictional force on normal load instead of real contact area.

4. The statistical characteristics of atomic friction force.

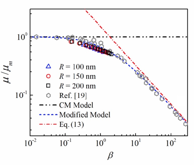
5. A semi-analytical friction model for nanosized asperity

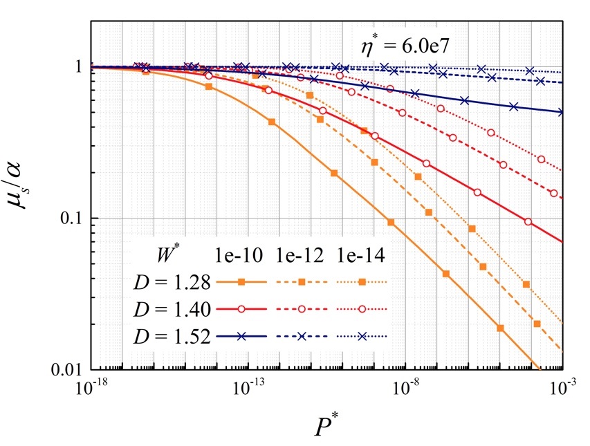
6. Dependence of frictional coefficient on load for rough surfaces

。。。。。。

