个人信息
联系方式
研究领域
学术成就
主要科研成果
主要学术任职
教育经历
科研论文
发表文章
科研项目
项目
Home
(7.)Contact
(1.)Basic Information
专著
English Version
Basic Information
Contact
Research Interests
Publications
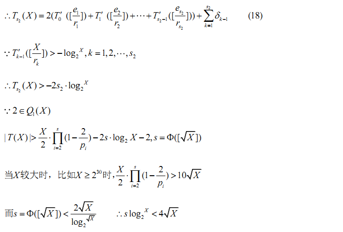
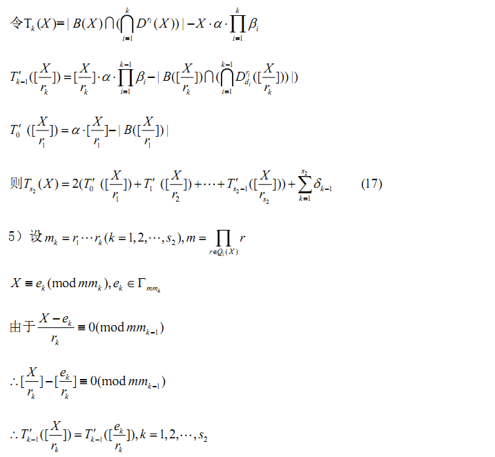
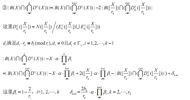
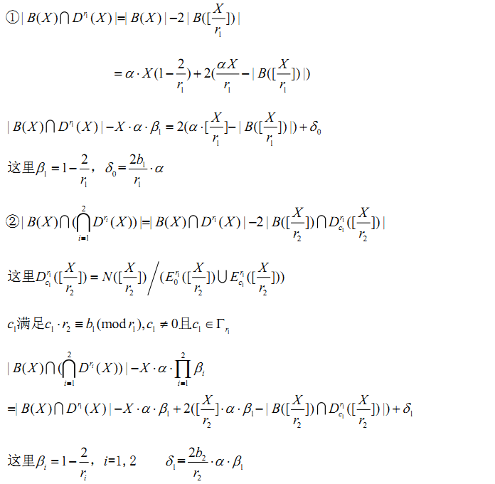
证明讨论
续上
科学研究
论文成果
著作成果
科研项目
我的新闻
教师个人主页
Faculty Homepage
校内登录
个人信息
联系方式
研究领域
学术成就
主要科研成果
主要学术任职
教育经历
科研论文
发表文章
科研项目
项目
Home
(7.)Contact
(1.)Basic Information
专著
English Version
Basic Information
Contact
Research Interests
Publications
证明讨论
续上
科学研究
论文成果
著作成果
科研项目
我的新闻
个人信息
更多+
张讲社
教授
所在单位: 数学与统计学院
学历: 博士研究生毕业
学位: 博士
所属院系: 数学与统计学院
证明讨论
当前位置:
中文主页
-
证明讨论
续上