探索可再生、可持续且低成本的能源,是当今社会最迫切的挑战之一。水能自古以来便被广泛利用,从水车和水力发电,再到近年来的“水伏”技术。相比之下,尽管地球表面约有10%被冰覆盖,“冰能”却长期未被利用。虽然研究表明冰具有挠曲电效应(即在非均匀变形下产生电极化),但纯冰的挠曲电系数仅在1–10nC/m量级,远不足以支撑实际的力-电能量转换。因此,提升冰的挠曲电系数是实现冰能设想的关键。

西安交通大学力化学耦合与智能介质实验室及合作者发现,向冰中掺杂盐可使挠曲电系数提升约三个量级,并揭示其机理为弯曲变形下盐离子沿晶界输运产生电流。这一发现使开发冰能的愿景更进一步,同时也为理解木卫二(Europa)、土卫二(Enceladus)等冰封海洋世界的电学活动提供了新的线索。
自然界中的冰往往含有杂质,因此研究掺杂效应是一个合理的切入点。本研究选择了最常见的溶质氯化钠(NaCl)。NaCl自身的挠曲电系数为~10⁻³nC/m,远低于冰,因此若掺杂仅是二者各自挠曲电极化的简单叠加,则意义有限。幸运的是,水冰体系往往不遵循简单的线性叠加规律,而会涌现出更复杂的现象。在多晶冰中,晶界因预融化效应而被纳米级厚度的准液体层所润湿;而在结冰过程中,盐离子因难以进入冰晶格而被排挤至晶界,从而进一步强化预融化效应,拓宽并增多晶界通道。由此,多晶盐冰既保有稳固的固体框架,又形成贯通的纳米输运网络。当发生弯曲时,预融化盐水层沿晶界从受压侧被挤向受拉侧(图1a,b)。由于冰–水界面存在电双层结构(图1c),这一输运过程将携带净电荷,从而产生电流。研究团队将这一机理命名为“挠曲流电效应”。

图1.挠曲流电效应的多尺度机理示意图。a,多晶盐冰梁,其晶界因预融化效应被润湿。弯曲驱动晶界盐水层流动而产生可测电流; b,晶界液体通道放大示意图。灰色、黑色和红色箭头分别表示压力、泊肃叶型流动、净电荷迁移; c,界面电双层结构放大示意图。电流的产生源于携带净电荷的扩散层(diffuse layer)相对于紧密吸附的Stern层发生剪切移动
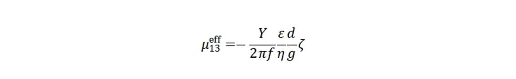
研究团队制备了不同盐度的冰梁,并采用标准三点弯装置进行了挠曲电测试。结果表明,等效挠曲电系数随盐度增加显著升高(图2a,b):在25 wt%时达到约3 μC/m,较纯冰高约三个数量级。基于图1所示机理,团队建立了理论模型,并推导出等效挠曲电系数的解析表达式:

其中,Y为杨氏模量,f为加载频率,ε和η分别为盐水介电常数和黏度,d为通道宽度,g为晶粒尺寸,ζ为Zeta电位。这一简洁的公式同时涵盖了固体、液体及固-液耦合三方面因素,无需拟合参数即可定性、定量再现实验结果(图2b)。此外,此公式还清晰揭示了NaCl的作用机理:随着盐度升高,晶粒尺寸g减小、通道厚度d增大(图2b插图),输运网络得以扩展;同时,NaCl通过破坏氢键而激活受限水分子的平移与转动,从而降低黏度η、增大介电常数ε。这些因素协同作用,导致了盐冰中的强挠曲电响应。

图2.盐冰的增强挠曲电效应。a,不同盐度下电极化与应变梯度的关系及其线性拟合;b,挠曲电系数随盐度变化,实验结果与理论预测吻合。插图展示了晶粒尺寸和准液体层(QLL)厚度随盐度的变化。实验条件:−22 °C、1 Hz
如何区分挠曲流电效应与常规挠曲电效应?首先可以通过频率。挠曲流电效应依赖于界面液体的长程输运,弛豫时间较长,表现为μ13eff∝1/f的反比关系;而常规挠曲电效应源于短程位移电流,响应快,对频率基本不敏感。实验结果表明(图3a),高盐度冰(≥3.5wt%)均遵循μ13eff∝1/f关系,而纯冰与低盐度冰(0.9wt%)则表现出弱频率依赖性,说明此处两种效应共存但均不占主导;另一条线索是温度。随着温度降低,预融化效应减弱,晶界液体层逐渐冻结,相应地挠曲电系数下降,并最终回归至纯冰水平(图3b)。该过程可用阿伦乌尼斯(Arrhenius)方程拟合,得到晶界输运活化能约0.7 eV。由此可见,挠曲流电效应是一个典型的多尺度力-电-化耦合过程,虽复杂,却能被简洁的理论模型刻画。

图3.挠曲电效应与挠曲流电效应的区分特征。a,等效挠曲电系数和频率倒数的关系(T=–22 °C)。黑色虚线为斜率为1的参考线; b,等效挠曲电系数随温度的变化(f = 1 Hz)。两幅插图表示液体通道网络在低温下冻结
阐明机理后,研究团队初步探索了应用潜力。宾夕法尼亚州立大学Cross教授曾提出基于挠曲电效应设计无铅压电复合材料的方案,其核心在于引入结构非对称性,将压缩载荷转化为应变梯度。受此启发,研究团队基于盐冰制备了圆台和挠曲型梁两类典型结构(图4a,b),并测量了其等效压电系数d33eff。结果显示,圆台结构的d33eff最高约为9 pC/N,随着不对称性减弱而下降至接近零(图4c);挠曲型梁表现尤为突出,在厚度降至0.68mm时d33eff可达约4000 pC/N(图4d),这一数值已接近目前性能最优的压电材料PMN-PT。需要强调的是,这里的d33eff并非材料的本征参数,而是由结构决定的器件性能因子。尽管如此,它与Cross教授报道的基于钛酸锶钡(BST)的挠曲型压电复合材料相当,而后者长期以来被视为性能最佳的挠曲电器件。这些结果表明,在寒冷地区原位制造基于冰的传感或能量采集器件并非天方夜谭。不过,团队也指出,要走向实际应用,还需攻克盐冰的力学疲劳和电学损耗两大难题。

图4. 通过结构设计使盐冰具有等效压电性。a, b,圆台和挠曲型梁在压缩下产生应变梯度;c, d,等效压电系数d33eff随结构非对称性(c)和梁厚度(d)的变化。NaCl质量分数25wt%
最后,力控微纳米通道的输运行为在自然界中并不罕见——从骨修复过程中的流动电位,到跨细胞膜的机械离子通道(2021年诺贝尔生理学或医学奖)均为典型例证。盐冰体系的独特之处在于:固体骨架与液体介质皆为H2O,界面处的H2O分子预融化为准液体层,由此自发形成可随温度重构的固液界面。考虑到自然界的冰几乎总含杂质,这一自发过程意味着挠曲流电效应可能具有深远意义。例如,它可能参与雷暴云中冰–霰碰撞的带电过程——研究团队在前期工作中基于纯冰的本征挠曲电性进行了分析,目前看来这一贡献可能被低估。将目光投向太空,仅太阳系就存在多个冰卫星。以木卫二为例,其表面被一层含盐冰壳覆盖,下方则是广阔的咸水海洋,它被视为最可能孕育生命的地外天体之一。此时此刻,NASA的“Clipper”号探测器正奔赴木卫二,肩负着评估其生命宜居性的使命。已有研究推测,冰壳在受到陨石撞击、潮汐力和构造活动时产生的电能或许能为生命提供潜在能量来源。将此处的电能归因于挠曲(流)电效应或许为时尚早,但这些关联无疑为理解冰电能的宇宙学意义提供了新的线索。

北京时间2025年9月15日,相关研究成果以“Streaming Flexoelectricity in Saline Ice”(《盐冰中的挠曲流电效应》)为题在线发表于Nature Materials(《自然—材料》),并被选为该期的封面论文。同时Nature Materials邀请韩国浦项工科大学Daesu Lee教授以“Salt turns ice into a powerful flexoelectric material”(《盐使冰转变成一种高效能的挠曲电材料》)为题撰写了News&Views观点文章,对该论文进行了专题评论。这是继该团队近期在Nature Physics上报道冰的挠曲电性与表面铁电性之后取得的又一重要进展。三位审稿人均对此工作给予了高度评价。一位直接建议接收文章,第二位评述道:“This work expands potential methods for harvesting energy from Earth's water resources and could inspire researchers to explore similar streaming flexoelectric effects in other materials. It holds significant scientific value and promising application prospects.”(这项工作拓展了利用地球水资源进行能量收集的潜在方法,并能激励研究人员在其他材料中探索类似的挠曲流电效应,具有重要的科学价值和广阔的应用前景),第三位则指出:“This manuscript presents a highly intriguing and significant study on the discovery of giant streaming flexoelectricity in saline ice. The concept of streaming flexoelectricity is fascinating, especially its broader implications in biological and environmental contexts.”(这份稿件展示了一项极具吸引力且意义重大的研究,报道了在盐冰中发现的巨挠曲流电效应。这一概念引人入胜,尤其在更广泛的生物与环境背景下具有重要意义)。
西安交通大学博士毕业生文馨(现为加泰罗尼亚纳米科技研究所博士后)、西安交通大学博士研究生马谦谦为论文共同第一作者;麦吉尔大学博士后刘静冉、加泰罗尼亚纳米科技研究所博士研究生Umair Saeed参与了论文的相关工作;文馨博士、西安交通大学申胜平教授、加泰罗尼亚纳米科技研究所Gustau Catalan教授为论文共同通讯作者。西安交通大学航天航空学院/复杂服役环境重大装备结构强度与寿命全国重点实验室为论文第一单位。该研究得到了国家自然科学基金委重大项目、国家自然科学基金青年学生基础研究项目(博士研究生)的资助。
论文链接:https://www.nature.com/articles/s41563-025-02332-5
News&Views专题评论链接:https://www.nature.com/articles/s41563-025-02328-1