https://mp.weixin.qq.com/s/-GqIlj12JkTlYVwkrgc03g
西安交大周迪教授课题组在褐钇铌矿结构高品质因数
微波介质陶瓷领域取得新进展
具有合适的介电常数(
)、高品质因数(Q × f ; f=谐振频率)和热稳定性的微波介质陶瓷受到广泛的关注。另外,5G通信的发展对介质谐振天线等无源器件提出了更高的要求。近日,西安交通大学电子科学与工程学院周迪教授课题组在褐钇铌矿结构微波介质材料及介质谐振器研究方面取得了重要进展。该团队利用晶体结构精修、Raman、高分辨透射电镜等技术,并结合介电性能测试、远红外以及THz反射光谱等手段,发现通过利用Bi3+离子对单斜褐钇铌结构的SmNbO4进行Sm-位离子取代改性,获得超宽温度范围高温度稳定性(‒40 ~+120 ºC内近零TCF)和低损耗(高Q × f)的K20微波介电陶瓷材料(Sm0.875Bi0.125)NbO4 (SB0.125N):介电常数(
)为21.9,品质因数(Q × f)为38,300 GHz(@~8.0 GHz),超宽温度范围近零的谐振频率温度系数(TCF),分别为‒ 9.0 ppm/℃ (@ ‒40 ~ + 60℃ )和‒ 6.6 ppm /℃ (+60 ~ +120℃)。文中进一步阐明Bi3+离子取代调节单斜褐钇铌相自发应变(导致褐钇铌矿单斜结构到四方白钨矿结构的畸变)的机理,并借此有效调节谐振频率温度系数(TCF)。此外,还利用(Sm0.875Bi0.125)NbO4陶瓷研制了圆柱形介质谐振器天线(CDRA),进一步验证该系列微波介质陶瓷材料在天线中的应用,该体系陶瓷是Sub‑6 GHz和未来毫米波应用的理想选择。相关成果以“Design of a Sub-6 GHz Dielectric Resonator Antenna with Novel Temperature Stabilized (Sm1-xBix)NbO4 (x = 0 - 0.15) Microwave Dielectric Ceramics ” 为题发表在《ACS Applied Materials & Interfaces》上。论文第一作者为西安交通大学电信学部电子科学与工程学院博士生吴芳芳,通讯作者为西安交通大学电子学院周迪教授。

图文导读

图1、(Sm1-x Bix)NbO4 (x = 0 - 0.15)的XRD与晶体结构
X-ray衍射(XRD)结果表明,在(Sm1-xBix)NbO4 (x = 0 ~ 0.15)陶瓷体系中,Bi3+离子取代没有导致相变以及第二相的形成,仍为单斜褐钇铌相。同时,Bi3+离子取代加剧了褐钇铌结构的畸变,提高了单斜褐钇铌→四方白钨矿的相变温度。

图2、(Sm1-x Bix)NbO4 (x = 0 ~ 0.15)的微波介电性能

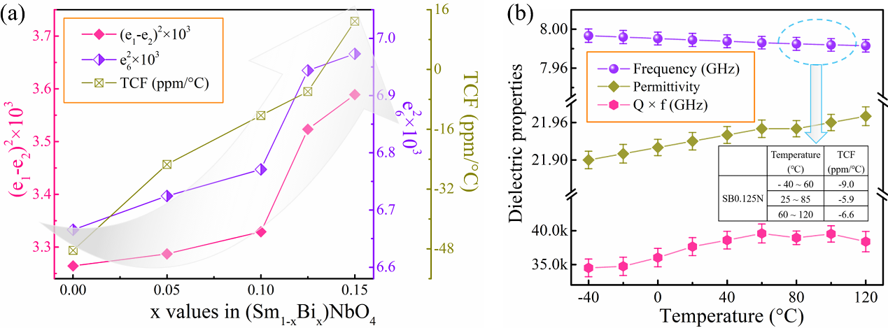
图3、(a) 应变参数和TCF随Bi-取代的变化; (b) (Sm0.875Bi0.125)NbO4陶瓷的TCF随温度( ‒ 40 ~ +120 ℃ )的变化。
图2结果表明,利用Bi3+离子取代Sm3+来对SmNbO4进行改性不仅可以有效地将TCF值调节至近零,同时还能降低该陶瓷的烧结温度(1320 → 1280℃)。图3结果表明,( e1 - e2 )和e6的应变以及TCF值均随Bi3+掺杂表现出相似的变化规律,说明通过调节SBxN陶瓷应变来调控其温度稳定性,获得近零的TCF值。图3(b)中,随温度升高,在超宽温度范围内(‒40 ~ +120 ppm/℃),SB0.125N陶瓷的
和Q × f值变化较小,且TCF略有降低,表明,SB0.125N陶瓷在超宽温度范围内具有优良的介电稳定性:
~ 21.9, Q × f ~ 38,300 GHz, TCF为‒9.0 ppm /℃ (@ ‒ 40 ~ + 60℃ )和‒6.6ppm /℃ (@+60 ~ +120℃)。

图4、(Sm1-x Bix)NbO4 (x = 0 - 0.15)的远红外/THz反射光谱
图4实验与计算结果表明,该体系的主要极化源于离子极化而非电子极化,
和 Q × f值均由声子在远红外区的吸收决定的, 介电常数主要取决于Sm / Bi-O在远红外区内声子吸收的贡献。此外,太赫兹(0.2-2 THz)的测试结果与远红外反射率谱拟合结果趋势一致,意味着该体系材料在5G以及未来毫米波领域具有良好的应用前景。

图5、圆柱形介质天线性能仿真及测试结果
如图5通过对具有优异微波介电性能的SB0.125N介质陶瓷制作了谐振频率为4.86 GHz、带宽为870 MHz的圆柱形介质谐振天线( CDRA )。仿真和测试结果均表明该CDRA具有优异的性能,其关键材料SB0.125N微波介质陶瓷因其低损耗、高稳定性等优点,有望成为Sub-6 GHz天线的候选材料。
文献信息
Fang-Fang Wu, Di Zhou, Chao Du, Biao-Bing Jin, Chun Li, Ze-Ming Qi, Shikuan Sun, Tao Zhou, Qiang Li, and Xiu-Qun Zhang. Design of a Sub-6 GHz Dielectric Resonator Antenna with Novel Temperature Stabilized (Sm1-xBix)NbO4 (x = 0 - 0.15) Microwave Dielectric Ceramics, ACS Applied Materials & Interfaces, 2022, 14, 5, 7030–7038.
团队介绍

周迪,西安交通大学电信学部电子科学与工程学院副院长、教授/博导、电子材料党支部书记;现任中国电子学会元件分会委员,电子元器件关键材料与技术专业委员会委员,电气与电子工程师协会高级会员,中国电子学会高级会员,美陶副编(Associate Editor of the Journal of the American Ceramic Society),材料研究通报编委(Editorial Board Member of Materials Research Bulletin),国际应用陶瓷技术副编(Associate Editor of International Journal of Applied Ceramic Technology),先进电介质编委(Editorial Board Member of Journal of Advanced Dielectrics),ACS应用材料与界面杂志顾问委员会成员(Editorial Advisory Board Member of ACS Applied Materials & Interfaces)。周迪教授团队研究方向主要聚焦于微波介质材料、低温共烧陶瓷技术、储能电容器材料、微波吸收材料和面向高频/储能/吸波功能复合介质材料。该工作是周迪教授团队在褐钇铌矿结构LnNbO4(Ln=镧系离子)微波介质陶瓷方向的又一力作,前期工作请参考Inorganic Chemistry, 2017, 56 (15), 9321-9329;Inorganic Chemistry Frontiers, 2021, 8, 156-163;Journal of Materials Chemistry C, 2021, 9, 9962–9971。
欢迎来自电子科学与技术、材料科学与工程、物理化学电气等相关专业的保送、考研、直博及考博同学!也欢迎优秀博士毕业生依托本课题组申报西安交通大学青拔计划、青秀计划以及博士后人才计划。
本文链接:https://pubs.acs.org/doi/10.1021/acsami.1c24307
团队主页:http://gr.xjtu.edu.cn/web/zhoudi1220