研究进展-先进材料多尺度力学|氮化硅陶瓷材料热输运特性研究
- 发布时间:
- 2025-07-31
- 文章标题:
- 研究进展-先进材料多尺度力学|氮化硅陶瓷材料热输运特性研究
- 内容:
全文速递 - 先进材料多尺度力学
近日,西安交通大学航天航空学院刘益伦教授团队在国际知名期刊《Thin-Walled Structures》发表了题为《Achieving ultralow and highly isotropic thermal conductivity in coherent Si3N4 ceramics heterostructure: A machine learning potential-based molecular dynamics simulation study》的研究论文。本文聚焦于氮化硅陶瓷材料的热输运特性,构建了高精度的神经进化势模型(Neural Evolutionary Potential, NEP),并结合分子动力学模拟系统探讨了单晶Si3N4及α/β-Si3N4共格异质结构在不同工况下的热输运行为。

内容概述
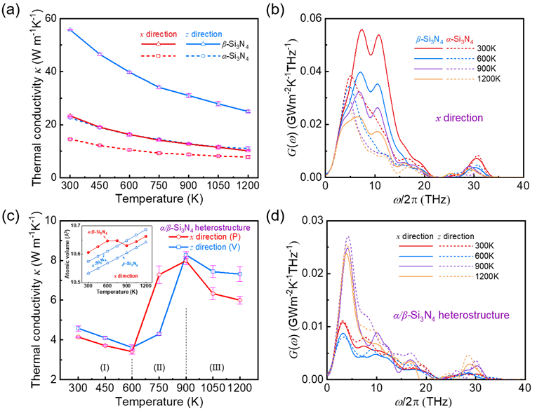
本研究构建了单相β-Si3N4、α-Si3N4及沿[001]晶向共格而成的α/β-Si3N4异质结构的晶胞模型(图1),并基于NEP模型构建准确描述Si3N4单晶及共格晶体热物理性能的高精度原子间作用势,并通过多维度验证评估了该势函数的可靠性(图2)。结合非平衡分子动力学模拟,发现相干界面显著缩短了声子的平均自由程,并抑制了额外声子模式的激发,导致α/β-Si3N4共格异质结构的热导率较单相氮化硅显著降低,并展现出超低且各向同性的热传导性能,其外推本征热导率约为5.69 W m-1K-1,远低于传统单相氮化硅及多数陶瓷材料(图3和图4)。同时,得益于所发展的NEP势函数对材料相变行为的精准捕捉,研究观察到温度诱导的部分相变会引发反常 “热跳变” 现象,该现象通过调控声子散射过程对热导率产生显著影响(图5)。该工作不仅验证了所构建势函数能精准捕捉实验中报道的氮化硅相变过程,并且系统揭示了相变与共格界面效应对氮化硅热导率的调控机制,为热防护材料的结构设计与性能优化提供了全新的理论依据与技术思路。

图1. 模型单胞结构。

图2. NEP模型预测值与DFT参考值的对比。

图3. (a-b)β-Si3N4、α-Si3N4热导率的长度依赖性(a),以及α/β-Si3N4共格异质结构热导率的长度依赖性(b)。(c)三种结构的热导率倒数与样品长度倒数的关系。(d)β-Si3N4、α-Si3N4及α/β-Si3N4异质结构的本征热导率和平均自由程对比。

图4. 典型陶瓷与Si3N4共格异质结构在不同尺度下的热导率对比。

图5. (a)β-Si3N4和α-Si3N4沿x方向和z方向的热导率随温度的变化关系。(b)温度对β-Si3N4和α-Si3N4光谱热导的影响。(c)α/β-Si3N4共格异质结构沿x方向和z方向的热导率随温度的变化关系。(d)温度对α/β-Si3N4异质结构光谱热导的影响。
关于作者
论文共同第一作者为该课题组硕士研究生杲晓谦与林澍,通讯作者为郑州大学力学与安全工程学院万京副教授及西安交通大学航天航空学院覃华松副教授。上述工作得到国家重点研发计划、国家自然科学基金、陕西省重点项目、中央高校基本科研业务费、陕西省科学技术协会青年人才计划等项目的资助。
同时,欢迎各位同学了解西安交通大学航天航空学院空天装备数智力学团队。团队负责人是国家杰出青年基金获得者刘益伦教授,骨干成员包括国家级青年人才岳圣瀛教授,国家级青年人才刘思达教授,岳圣瀛教授,覃华松副教授、潘周周副教授、张钱城副教授、张志家副教授、应鹏华副教授、陈炎助理教授、李玉书助理教授。团队致力于空天装备智能设计、分析、制造一体化。团队拥有先进的实验仪器设备、丰富的计算资源、理论功底扎实、科研氛围融洽,欢迎优秀本科生前来攻读硕士研究生、博士研究生。
原文链接: https://doi.org/10.1016/j.tws.2025.113751




