研究进展 | J. Mech. Phys. Solids.:二维材料的均质化连续介质力学框架
- 发布时间:
- 2024-10-25
- 文章标题:
- 研究进展 | J. Mech. Phys. Solids.:二维材料的均质化连续介质力学框架
- 内容:
全文速递
近日,西安交通大学航天航空学院刘益伦教授团队以“Homogenization of Two-dimensional Materials Integrating Monolayer Bending and Surface Layer Effects”为题,在固体力学旗舰刊物《Journal of the Mechanics and Physics of Solids》上发表了一篇研究论文,针对极端各向异性二维材料提出一种均质化的连续介质力学框架。该工作不仅可为二维材料的研究和应用提供指导,也可为高阶连续介质力学模型中的应变梯度、偶应力、高阶模量等概念提供具体的物理图像。

内容概述
石墨烯(graphene)、六方氮化硼(h-BN)等二维材料在电子、光学、热学等器件中具有巨大的应用潜力。此外,二维材料作为探索材料性能设计方法的平台,在应变工程、对称性工程、界面工程以及模块化组装等材料性能调控方面也发挥着重要作用。在上述应用中,精确、有效的力学描述为相关材料或器件的可预测性、稳定性以及可靠性等提供支撑。

图1. 二维材料结构特征及其典型变形模式
然而,由于其层状的晶格结构、极端各向异性以及离面弯曲的独立变形机制等特点,这类材料的均质化力学模型目前仍面临挑战。有别于经典材料,二维材料单片层的弯曲变形机制显著区别于其面内变形机制,导致描述其体相材料的力学行为时必须引入偶应力的概念。此外,表面片层与内部片层因约束状态不同,使整体表现出显著的表面层效应。目前还缺乏同时考虑单层弯曲效应和表面层效应的二维材料连续介质力学框架。
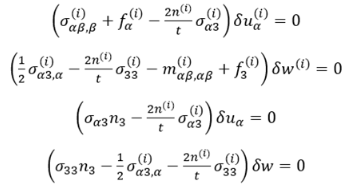
对此,本文提出以下连续介质模型(图 2):首先将各片层看作连续体,其弯曲刚度独立于面内变形刚度;将片层之间的范德华相互作用替换为等效介质。它们的参数均可由分子动力学模拟给出。随后,对内层作均质化,得到体相本构;剩余的最外侧片层则保留为表面层,它们之间通过应力连续条件进行耦合。最后,表达出各部分虚功,借助虚功原理得到平衡方程及所需边界条件。如,
- 体相平衡方程

-
表面平衡方程

值得一提的是,以上均质化模型涉及的所有非经典参数均可由片层的力学参数直接导出,而无需专门设计实验拟合。

图2. 均质化过程以及微元受力示意图
在此框架下,进一步研究了二维材料在梁式(图 3)、板式(图 4)变形以及纳米压痕(图 5)中的力学行为。通过分析,得到了二维材料等效弯曲刚度的解析表达式,由多个无量纲参数表出。此外,研究还揭示了二维材料的整体弯曲行为由面内变形与层间剪切变形相互竞争的结果。同时,发现了即使在纯弹性变形范围内,二维材料的压入模量依然与压头尺寸和压入深度相关。此外,进一步系统讨论了单层弯曲效应(图 6)与表面层效应(图 7)对二维材料变形的影响。

图3. 二维材料的梁式弯曲变形行为

图4. 二维材料板式弯曲变形行为

图5. 二维材料纳米压痕行为

图6. 单层弯曲效应

图7. 表面层效应
关于作者
论文第一作者为课题组的博士研究生刘会超,通讯作者是课题组的陈炎助理教授和刘益伦教授。清华大学郑泉水院士、国家纳米中心刘璐琪教授和西南交通大学王稳副研究员为该研究提供了重要指导与建议。该工作得到了国家自然科学基金、陕西省自然科学基础研究项目等资助。西安交通大学航天航空学院刘益伦教授团队长期招聘博士后和博士生,欢迎有意者联系。
原文链接
https://www.sciencedirect.com/science/article/pii/S0022509624003776




