团队研二学生马真迪关于中深层地热能的研究成果——“Analysis on variations of ground temperature field and thermal radius caused by ground heat exchanger crossing an aquifer layer”,发表于Applied Energy期刊。

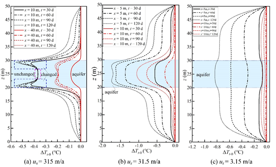
本研究为了探究地下含水层对地埋换热器周围地温场的影响,建立了由同心地埋换热器以及含水层和隔水层组成的模型,并进行了数值求解。结果揭示了含水层内地下水渗流速度的变化将会对地埋换热器周围温度场的波动产生明显的影响,温度场最大的温度波动取决于地下水渗流速度及运行时间。在地埋换热器取热过程中,含水层内的初始地温与瞬时地温之间的温差,以及此温差达到稳定的时间是与地下水渗流速度成反比的。当地下水渗流的速度从3.15 m/a 变化到315 m/a时,地埋换热器的热作用半径从7.4 m增加到了143.0 m。由于含水层与隔水层的热扩散系数的不同,以及地下水渗流速度的应用,含水层与隔水层的热作用半径会有所不同。会存在一个临界的地下水渗流速度,使得含水层和隔水层热作用半径相同,这个临界值可以作为是否考虑含水层影响的依据。除此之外,当地下水渗流速度大于临界速度时,含水层厚度增加会使含水层热作用半径增加,而当地下水渗流速度小于临界流速是,含水层厚度的增加则会使热作用半径减少。对热作用半径的变化规律的探究将为工程中井间距的设计提供重要指导。