课题组论文被Process Safety and Environmental Protection收录
- 发布时间:
- 2022-06-20
- 文章标题:
- 课题组论文被Process Safety and Environmental Protection收录
- 内容:
祝贺课题组论文“Study on the Propagation Characteristics of Pressure Wave Generated by Mechanical Shock in Leaking Pipelines”近期被“Process Safety and Environmental Protection”收录(中科院JCR分区:2区,2022年影响因子:6.158)。
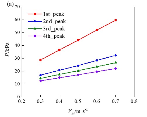
论文研究了机械冲击产生的压力波在泄漏管道中的传播和衰减特性,通过实验采集了不同工况下机械冲击产生的压力波,采用无量纲分析和衰减拟合公式定量描述了压力波的衰减规律,通过CFD模拟探究了机械冲击的最大速度和冲击时间与压力波波动特性的关系。结果表明实验中采集到的压力波最大振幅约为104.71kPa,管道中的泄漏口会增强管道在时间和空间上的衰减;当机械冲击的最大速度从0.3 m/s增加到0.7 m/s时,压力波幅值呈线性增加;此外,采用较短的机械冲击持续时间会提高产生的压力波的振幅。本文的研究结果将有助于管道系统瞬态泄漏检测方法的开发和应用。

图1 压力波管道实验系统图

图2 不同管道工况下各测点的压力波信号

图3 不同管道工况下各测点的压力波衰减系数

图4 机械冲击的最大速度对压力波幅值的影响
该论文研究工作受到国家自然科学基金项目(21978227)和中央高校科研基本业务费(xjh012019022)的支持。




