祝贺Shehu Adam Ibrahim博士在《 Journal of Nuclear Materials》杂志上发表学术论文
- 发布时间:
- 2025-02-24
- 文章标题:
- 祝贺Shehu Adam Ibrahim博士在《 Journal of Nuclear Materials》杂志上发表学术论文
- 内容:
高熵合金(HEAs)因其卓越的机械性能、热稳定性和抗辐射性而受到广泛关注,使其成为先进结构材料和核应用领域的理想候选材料。然而,理解这些复杂合金中缺陷迁移的基本机制仍然是一个关键挑战。本课题组探究了局部化学序(LCO)——即某些原子种类优先聚集或分离的结构现象——对等原子比CoNiCrFe高熵合金中空位扩散的影响。研究论文以Effect of local chemical order on monovacancy diffusion in CoNiCrFe high-entropy alloy为题发表于《Journal of Nuclear Materials》期刊,Shehu Adam Ibrahim博士为文章第一作者。
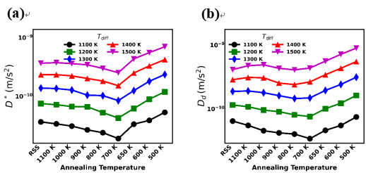
通过结合分子动力学(MD)模拟与混合蒙特卡罗-MD(MC-MD)方法,本研究系统探究了空位扩散在一系列退火温度下的行为。结果表明,扩散系数与局部化学序(LCO)呈非单调依赖关系:随着LCO程度的增加,扩散速率降低,但在中间退火温度(700 K)达到最小值;低于该温度时,扩散速率再次升高(图1)。这一现象挑战了传统假设——更强的化学有序性必然导致更低扩散率,表明低能扩散通道的空间连通性是影响这一趋势的关键因素。

图1. (a)示踪扩散系数和(b)缺陷扩散系数随退火温度的非单调变化,突出显示在700 K时扩散系数达到最小值。
本研究的另一重要发现是空位迁移势垒在不同LCO区域呈现不对称分布。空位优先在富Fe和富Co区域内迁移,这些区域较低的形成能与迁移能增强了空位的稳定性和迁移能力。相比之下,富Cr区域表现出更高的迁移势垒,从而限制了空位扩散(图2)。这种非对称的迁移能分布特征形成了热力学驱动力,促使空位从富Cr区域向富Fe和富Co区域迁移。

图2. 在(a)500 K和(b)700 K退火的LCO结构中,不同局部化学序区域间空位迁移的平均迁移势垒。
通过识别局部化学序(LCO)形成的独特扩散路径,本研究进一步揭示了渗流效应在扩散行为中的关键作用。在较低退火温度(T < 700 K)处理的结构中,富Fe和Co团簇通过空间互连形成连续的低能通道(图3),促进空位长程扩散;而当退火温度升高时,这些区域逐渐孤立化,增加了捕获空位和抑制扩散的可能性。这种行为突出了渗流效应在扩散动力学中的作用,展示了 LCO 如何在合金组成保持不变的情况下局部调制扩散网络。

图3. 不同CoNiCrFe结构中空位优先扩散路径的快照图示。各结构中所显示的原子代表在空位周围1NN 的球形截止范围内,钴和铁总组成介于0.69至0.53之间的富铁、钴区域。
除了为高熵合金中的缺陷传输机制提供新的见解外,该研究还强调了通过调控LCO来控制扩散行为的潜力。这些发现对材料设计具有广泛意义,特别是在辐射诱导缺陷和扩散驱动降解是关键问题的环境中。
本研究为深入理解局部原子排列如何影响高熵合金(HEAs)中的缺陷行为提供了重要贡献,为其在下一代能源、航空航天及核应用中的性能优化奠定了基础。
文章详情请参考:
Shehu Adam Ibrahim, Tan Shi, Yundi Zhou, Jing Li, Chen Zhang, Ping Zhang, Zhengxiong Su, Rui Gao, Chenyang Lu*. Effect of local chemical order on monovacancy diffusion in CoNiCrFe high-entropy alloy. Journal of Nuclear Materials. 2024, 155335.
https://doi.org/10.1016/j.jnucmat.2024.155335





